首页 | 新闻中心 | 复习指导 | 试题资源 | 下载中心 | 本站商城 | 个人博客 | 图书中心雁过留声 | 交流论坛 | 考研专区 | 司考专区 | 公务员考试 | 法硕专区 | 中高考

 
您现在的位置: 中国1考网 >> 考研专区 >> 试题资源 >> 文章正文  
 
 
 
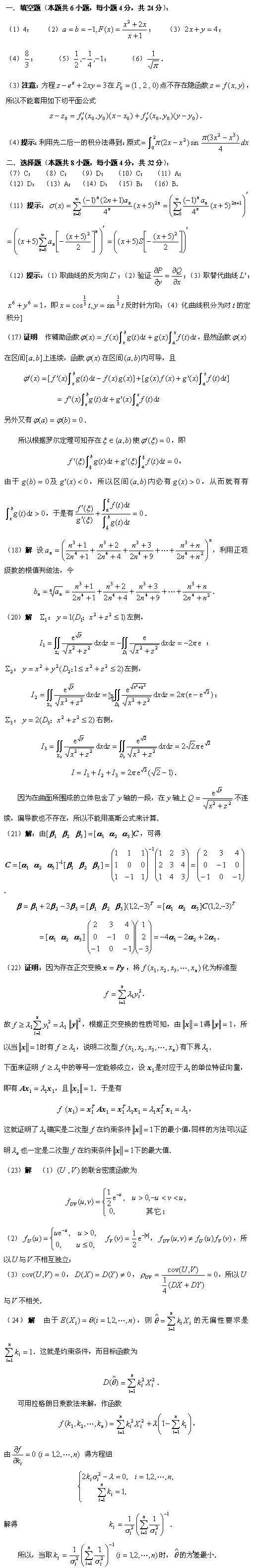
龚成通2007年考研数学(一)五套模拟试题及答案(3)
作者:未知 文章来源:考研教育网论坛 点击数: 更新时间:2007-4-18 20:50:30

hspace=0

上一页  [1] [2] 

  • 上一个文章:

  • 下一个文章:
  • 特别说明:由于各方面情况的不断调整与变化,中国一考网所提供的所有考试信息仅供参考,敬请考生以权威部门公布的正式信息为准。

    网友评论(评论只代表网友观点,与本站立场无关)
    发表评论
    姓 名: *(必填项) ·注册用户·
    Email: QQ号:
    评 分: 1分 2分 3分 4分 5分
    评论
    内容
     
     
    今日推荐
    最新新闻资讯

    2007年考研高校复试线

    司法考试北京已预报27
    普通文章[公务员动态]专家谈中国的公务员考前培训将走07-18
    普通文章[公务员动态]2007年青海省公务员考试报名时间07-18
    普通文章[公务员动态]2007年起福建设基层工作专场招大07-18
    普通文章[公务员动态]07年起福建有基层工作经历报考公07-18
    普通文章[司考资讯]司法考试北京已预报27000人 女性07-18
    普通文章[考研资讯]华南师范大学2008年硕士研究生招07-18
    普通文章[考研资讯]浙江师范大学2008年硕士研究生招07-18
    普通文章[考研资讯]武汉科技学院2008年硕士研究生招07-18
    普通文章[考研资讯]南京财经大学2008年硕士研究生招07-18
    普通文章[资讯动态]北大08接收推荐免试攻读法律硕士07-17
    最新复习指导
    普通文章[综合辅导]特别汇总:公务员考试分类与录取07-18
    普通文章[综合辅导]案例分析:专家谈如何把握公务员07-18
    普通文章[英语]词汇阅读是关键 08年考研暑期英语07-17
    普通文章[专业课复习]名师指导:08考研暑期专业课复习07-17
    普通文章[政治]07考研政治复习秘诀:得暑期者得07-16
    普通文章[政治]暑期考研政治复习小贴士:三层计07-16
    普通文章[英语]考研英语暑期复习:调整状态 迎接07-12
    普通文章[专业课复习]考研指导:教育学暑期复习高效攻07-12
    普通文章[专业课复习]考研指导:金融学暑期复习高效攻07-12
    普通文章[英语]通过词汇测一测 你离英语专业考研07-12
    最近试题资料
  • 此栏目下没有文章
  • 最新增值资源
     
    1考网简介 | About 1kao | 广告服务 | 联系我们 | 版权申明 | 会员注册 | 产品答疑
    Copyright © 2004-2010 www.1kao.net, All Rights Reserved
    中国1考网 版权所有