首页 | 新闻中心 | 考试指导 | 试题资源 | 下载中心 | 个人博客 | 图书中心雁过留声托业考试 | 考研专区 | 司法考试 | 公务员考试 | 法硕专区 | 中高考专区

 
您现在的位置: 中国1考网 >> 考研专区 >> 复习指导 >> 数学 >> 正文  
 
 
 
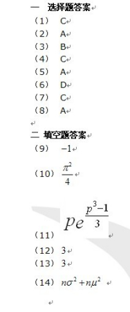
2010考研数学三选择题与填空题答案
作者:跨考教育 文章来源:sina 点击数: 更新时间:2010-1-14 11:47:11
2010考研数学三选择题与填空题答案(跨考) 2010考研数学三选择题与填空题答案(跨考)

  考试结束之后欢迎参与政治、英语、数学讨论,发表你的观点和感受,与网友对一对答案。今年试题难不难?新浪教育特约多位名师在论坛进行24小时答疑。送考试祝福,请点击进入许愿专区。自我感觉考得不好的,欢迎进来发泄一下。欢迎参与2010年考研成绩预测及复试线预测,并查看其他人的估分。

   

  • 上一个文章:

  • 下一个文章:
  • 特别说明:由于各方面情况的不断调整与变化,中国一考网所提供的所有考试信息仅供参考,敬请考生以权威部门公布的正式信息为准。

    网友评论(评论只代表网友观点,与本站立场无关)
    发表评论
    姓 名: *(必填项) ·注册用户·
    Email: QQ号:
    评 分: 1分 2分 3分 4分 5分
    评论
    内容
     
     
    今日推荐
    最新新闻资讯

    考研英语(二)模拟试

    2010国考成绩公布 上海
    普通文章[公务员动态]福建省2010年度春季考试录用公务01-14
    普通文章[公务员动态]公务员“面试包过”班拒绝书面承01-14
    普通文章[公务员动态]福建省2010年度春季考试录用公务01-14
    普通文章[公务员动态]江西省直事业单位招录考试3月份网01-14
    普通文章[公务员动态]重庆2010制定公务员录用考察办法01-14
    普通文章[公务员动态]国考未进面试考生可在15日至17日01-14
    普通文章[公务员动态]山东加大招录农民公务员 面试方法01-14
    普通文章[公务员动态]温州公务员一职位61人报名3人确认01-14
    普通文章[公务员动态]国家公务员招考调剂岗位15日起开01-14
    普通文章[公务员动态]国考面试名单公布 众考生查分造成01-14
    最新复习指导
    普通文章[英语]2010年考研英语阅读理解第一篇全01-14
    普通文章[英语]2010年考研英语新题型题目来源及01-14
    普通文章[英语]2010年考研英语真题之阅读难度评01-14
    普通文章[英语]2010年考研英语二阅读及新题型答01-14
    普通文章[英语]2010考研英语试题阅读文章来源出01-14
    普通文章[英语]2010年考研英语阅读理解争议题解01-14
    普通文章[英语]名师黄涛探秘2010年考研英语阅读01-14
    普通文章[英语]2010年考研英语完形填空解析(启航01-14
    普通文章[英语]2010考研部分阅读题源分析及参考01-14
    普通文章[英语]2010年考研英语新题型段落排序题01-14
    最近试题资料
  • 此栏目下没有文章
  • 最新增值资源
     
    1考网简介 | About 1kao | 广告服务 | 联系我们 | 版权申明 | 会员注册 | 产品答疑
    Copyright © 2004-2010 www.1kao.net, All Rights Reserved
    公务员考试 MBA论文 考研大纲 中国1考网 版权所有