首页 | 新闻中心 | 考试指导 | 试题资源 | 下载中心 | 个人博客 | 图书中心雁过留声托业考试 | 考研专区 | 司法考试 | 公务员考试 | 法硕专区 | 中高考专区

 
您现在的位置: 中国1考网 >> 考研专区 >> 复习指导 >> 数学 >> 正文  
 
 
 
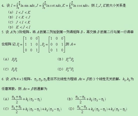
2011年考研数学三试题选择题部分
作者:跨考网 文章来源:sina 点击数: 更新时间:2011-2-16 16:10:32

  2011年考研数学三试题选择题部分:

图片1图片1 图片2图片2 图片3图片3

   

  • 上一个文章:

  • 下一个文章:
  • 特别说明:由于各方面情况的不断调整与变化,中国一考网所提供的所有考试信息仅供参考,敬请考生以权威部门公布的正式信息为准。

    网友评论(评论只代表网友观点,与本站立场无关)
    发表评论
    姓 名: *(必填项) ·注册用户·
    Email: QQ号:
    评 分: 1分 2分 3分 4分 5分
    评论
    内容
     
     
    今日推荐
    最新新闻资讯

    成人高等教育学士学位

    大学生最希望职业:公
    普通文章[公务员动态]时评:敢不敢让“最牛公务员”把02-16
    普通文章[公务员动态]调查:“最牛公务员”背后有多少02-16
    普通文章[公务员动态]评论:“最牛公务员”是如何炼成02-16
    普通文章[公务员动态]中国最牛公务员:9年不上班工资照02-16
    普通文章[公务员动态]大学生最希望职业:公务员以稳定02-16
    普通文章[公务员动态]口述:从大学老师到公务员 我真的02-16
    普通文章[公务员动态]上海扩招公务员 2011年拟录4048人02-16
    普通文章[公务员动态]四川2011年开始探索工人农民考录02-16
    普通文章[公务员动态]佛山市2011年将试点公务员聘任制02-16
    普通文章[公务员动态]福建一考生公务员考试第一却被取02-16
    最新复习指导
    普通文章[英语]名师点评2011年考研英语完形填空02-16
    普通文章[英语]名师详解2011年考研英语完型填空02-16
    普通文章[英语]2011年考研阅读文章难度及出题思02-16
    普通文章[英语]2011年考研英语(二)大作文范文02-16
    普通文章[英语]2011年考研英语大小作文审题和参02-16
    普通文章[英语]2011年考研英语完型真题分析02-16
    普通文章[英语]2011年考研英语阅读新题型参考答02-16
    普通文章[英语]2011年考研英语(一)阅读真题02-16
    普通文章[英语]2011年考研英语(二)小作文范文02-16
    普通文章[英语]2011年考研英语(二)大作文范文02-16
    最近试题资料
  • 此栏目下没有文章
  • 最新增值资源
     
    1考网简介 | About 1kao | 广告服务 | 联系我们 | 版权申明 | 会员注册 | 产品答疑
    Copyright © 2004-2010 www.1kao.net, All Rights Reserved
    公务员考试 MBA论文 考研大纲 中国1考网 版权所有