|
新浪教育(微博)讯 广东省县级以上机关2012年考试录用公务员(微博)公告已经发布,这次县级以上机关共招考9579名公务员,5月5日至10日同步接受网络报名,5月27日全省统一进行笔试。
广东省县级以上机关2012年考试录用公务员公告
根据《中华人民共和国公务员法》、《公务员录用规定(试行)》和《广东省公务员录用办法(试行)》规定,按照“公开、平等、竞争、择优”的原则,中共广东省委组织部、广东省人力资源和社会保障厅决定组织2012年全省县级以上机关(含参照公务员法管理单位及部分乡镇机关,下同)考试录用主任科员以下非领导职务公务员(含参照公务员法管理单位工作人员,下同)。现将有关事项公告如下:
一、招考对象
招考对象为全日制普通高等院校2012年应届毕业生和社会上具有国家承认学历的大专以上(个别特殊职位放宽到高中、中专)人员。2012年国内普通高等学校应届毕业生须于2012年9月30日前取得相应毕业证书、学位证书,其他人员须于报名之日前取得相应毕业证书、学位证书。非广东常住户口(生源)报考者限全日制普通高等院校本科以上学历并取得学士以上学位的人员。
二、报考条件
(一)具有中华人民共和国国籍,拥护中华人民共和国宪法;
(二)遵纪守法,具有良好的品行;
(三)除以下三类职位外,报考年龄18至35周岁(1976年5月5日至1994年5月5日期间出生),应届硕士、博士研究生(非在职)报考放宽到40周岁以内(即1971年5月5日以后出生)。
1.公安特警职位:18至25周岁(1986年5月5日至1994年5月5日期间出生);
2.广州和地级市以下公安机关人民警察职位:18至30周岁(1981年5月5日至1994年5月5日期间出生),应届硕士、博士研究生(非在职)和报考法医职位的放宽到35周岁以内(1976年5月5日至1994年5月5日期间出生);
3.司法行政部门监狱、劳教所一线干警职位:18至30周岁(1981年5月5日至1994年5月5日期间出生),应届硕士、博士研究生(非在职)和报考狱医、心理矫正等特殊职位的放宽到35周岁以内(1976年5月5日至1994年5月5日期间出生);
(四)具有大专以上文化程度(公安特警和司法行政部门监狱一线护理职位放宽到高中、中专);
(五)具有正常履行职责的身体条件和符合职位要求的工作能力;
(六)具有拟任职位所要求的其他资格条件;
(七)法律、法规规定的其他条件。
招考职位明确要求“具有2年以上基层工作经历”的,报考人员必须具备相应的基层和生产一线工作累计满2年的经历。基层工作经历计算截止日期为2012年5月5日。
曾因犯罪受过刑事处罚的人员和曾被开除公职的人员、在各级公务员招考中被认定有舞弊等严重违反录用纪律行为的人员、在读的非应届毕业生、现役军人、在职公务员和参照公务员法管理单位工作人员(含试用期人员)、公务员或事业单位工作人员被辞退未满5年的,参加我省近两年公务员录用考试违背承诺的,以及有关法律规定不得录用为公务员的其他情形的人员,不得报名。报考人员不得报考录用后即构成回避关系的招考职位。
全 省各级法院、检察院主要招录法律业务职位和司法警察职位。报考法律业务职位的考生,均需通过国家司法考试。其中,非珠三角地区基层法院、检察院的法律业务 职位,不设专业限制;部分法律业务职位设置职位组,报名人员需按职位组报考,实行组内竞争、择优录用,待录用时按照考试总成绩由高到低在所报考职位组中选 择一个具体岗位(不得挑选录用后即构成回避关系的岗位)。
三、报名办法
(一)查询职位。
本次考试的具体招考职位及资格条件可到广东组织工作网(http://www.gdzz.cn)、广东人事网(http://www.gdrst.gov.cn)、广东省人事考试局公务员考试网(http://www.humanassess.com.cn)及相关市的网站上查询。
(二)网络报名。
本次考试采取网络报名的方式,省直机关及其直属机构(含省法院、省检察院、广州海事法院和省以下垂直管理部门)的招考职位,在广东省人事考试局公务员考试网上报名;各市职位(含市、县两级法院、检察院、公安机关的职位),在各市网站报名(具体网址可在广东组织工作网、广东人事网、广东省人事考试局公务员考试网上查询)。报名时间为2012年5月5日9∶00至5月10日16∶00,按以下程序进行:
1.提交报考申请。报考人员应在公告规定的报名时间登录相应报名网站,填写个人情况,提交报考申请,并上传本人近期免冠2寸正面证件电子照片(格式为.JPG格式,大小为20KB以下),以便进行资格审查。
2.查询资格审查结果。报考人员应在提交申请后报名截止前登录原报名网站,查询资格审查结果。通过资格审查的,不能再报考其他职位;尚未审查或未通过资格审查的,可改报其他职位。
3.报名确认。通过资格审查的报考人员需要进行报名确认,报名确认采取网上缴费确认的方式进行,缴费截止时间为5月11日16∶00。未按期缴费确认的视为自动放弃考试。
4.网上打印准考证。报名确认成功后,报考人员应于2012年5月23日9∶00至5月27日8∶30期间,登录原报名网站下载打印准考证。
(三)报名要求。
1.报考人员须按《广东省考试录用公务员专业目录(2012版)》(具体可在广东组织工作网、广东人事网、广东省人事考试局公务员考试网上查询)进行报考,所学专业应符合报考职位的专业要求,学位种类不等同于报考专业。
2. 报考人员只能选择一个职位进行报名,不得用新、旧两个身份证号同时报名,报名与考试时使用的身份证必须一致。考生要践行诚信报考、诚信考试。报名时,报考 人员提交的报考申请材料应当真实、准确。凡提供虚假报考申请材料的,一经查实,即取消报考资格。对伪造、变造有关证件、材料、信息,骗取考试资格的,将按 《公务员录用考试违纪违规行为处理办法(试行)》的有关规定予以处理。
3.国有单位正式员工报考,须征得工作单位同意,并出具书面证明。
4.留学(微博)归国人员报考,须取得教育部中国留学服务中心境外学历、学位认证书,并有我驻外使领馆开具的证明材料。
5.享受国家最低生活保障金的城镇家庭、农村绝对贫困家庭的报考者,免交报名考务和体检等费用。
四、考试
考试包括笔试和面试。
(一)笔试。
笔试科目为《行政职业能力测验》、《申论》两科。有关情况详见《广东省县级以上机关2012年考试录用公务员笔试科目考试大纲》(附件4)。
笔试时间:2012年5月27日
08︰00—09︰30 《行政职业能力测验》
10︰15—12︰15 《申论》
笔试成绩按《行政职业能力测验》和《申论》成绩相加计算,按四舍五入保留小数点后1位。
(二)面试。
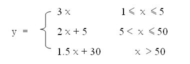
面试对象按招考职位拟录用人数分段计算,计算函数为:

其中,χ代表招考职位拟录用人数,у代表面试对象人数;计算结果(у值)小数点后按四舍五入取整数值。按照此公式计算确定具体职位进入面试的考生数量,再按笔试成绩从高到低顺序,在笔试合格的考生中确定面试对象。
面试对象在面试前须按公务员主管部门或招录机关规定的时间、地点进行报考资格复审。凡有关材料主要信息不实,影响资格审查结果的,公务员主管部门或招录机关有权取消该报考人员参加面试的资格。资格复审不合格的,不得参加面试,招录机关可依次递补面试对象。
通过资格复审、具备参加面试资格的考生须作出被录用后按要求到岗在岗工作的承诺。违背承诺的,3年内不得再报考我省公务员。
报考公安机关(含森林公安)、监狱、劳动教养管理机关的人民警察和人民法院、人民检察院的司法警察职位的考生须进行体能素质测评,体能素质测评不合格者不能参加面试。体能素质测评由公务员主管部门会同招录机关组织实施,具体测评时间、地点等事项另行通知。
面试工作严格按《广东省公务员录用面试工作实施细则(试行)》执行,全省统一命题,统一时间进行。面试成绩按四舍五入保留小数点后2位。具体面试时间、地点等事项另行通知。
面试结束后,考试总成绩按下列公式计算:
考试总成绩=笔试成绩÷2×60%+面试成绩×40%。考试总成绩按四舍五入保留小数点后3位。若同一职位考生总成绩相同的,则依次按照笔试成绩、行政职业能力测验成绩高低顺序确定名次。
笔试、考试总成绩的合格分数线由省委组织部、省人力资源和社会保障厅按规定划定。
五、体检和考察
考试结束后,按考试总成绩由高到低的顺序,等额确定参加体检人员名单。
体检工作按照人力资源社会保障部、卫生部修订后的《公务员录用体检通用标准(试行)》和《公务员录用体检操作手册(试行)》、《公务员录用体检特殊标准(试行)》和《广东省公务员录用体检工作实施细则(试行)》组织实施。具体体检事项安排另行通知。
体检合格的考生确定为拟录用考察人选,由招录机关对其政治思想、道德修养、能力素质、学习和工作表现、遵纪守法、廉洁自律、社会关系以及是否需要回避等方面的情况进行考察,并核实其是否符合报考资格条件。
六、录用
考察合格的,确定为拟录用人选,由招录机关通过互联网等媒体公示7天后,按规定程序和权限报批录用。对录用人数2名以上且未设置到具体用人单位的职位,按考试总成绩从高到低由拟录用人选在所报考职位中选择一个岗位,并按确定的具体岗位填写录用审批表。
体检中出现不合格或放弃体检的,可依次递补体检人选。考察不合格或者放弃录用的,可依次递补考察人选。公示中发现问题的,可依次递补。是否递补体检、考察和录用人选,由招录机关研究提出意见。
七、注意事项
(一)考生报名前需认真阅读本公告和报考指南(附件5)。
(二)准考证是考生参加笔试、面试、体检等各环节的重要证件,请妥善保管,遗失不补。考生参加考试时,必须同时携带准考证和身份证。证件不齐者,不得参加考试。
(三)本次考试不举办、也不委托任何机构举办考试辅导培训班,也不指定任何参考用书和资料。社会上任何以公务员考试命题组、专门培训机构等名义举办的辅导班、辅导网站或发行的出版物、参考资料、上网卡等,均与本次考试无关。
本公告及报考相关要求的附件同时在广东组织工作网、广东人事网和广东省人事考试局公务员考试网上发布,并在各市公务员主管部门网站同步转发,由中共广东省委组织部、广东省人力资源和社会保障厅负责解释。
中共广东省委组织部
广东省人力资源和社会保障厅
2012年5月2日
附件:
1. 广东省县级以上机关2012年考试录用公务员职位表
2. 广东省县级以上机关2012年考试录用公务员考区一览表
3. 广东省考试录用公务员专业目录(2012年版)
4. 广东省县级以上机关2012年考试录用公务员笔试科目考试大纲
5. 广东省县级以上机关2012年考试录用公务员报考指南
6. 广东省县级以上机关2012年考试录用公务员报名登记表
分享到:
|