首页 | 新闻中心 | 考试指导 | 试题资源 | 下载中心 | 本站商城 | 个人博客 | 图书中心雁过留声 | 考研论坛 | 考研大纲 | 司法考试 | 公务员考试 | 法硕专区 | 中高考专区

 
您现在的位置: 中国1考网 >> 考研专区 >> 复习指导 >> 数学 >> 正文  
 
 
 
万学海文:2008年考研数学二试题参考答案
作者:sina 文章来源:sina 点击数: 更新时间:2008-1-29 20:11:26
万学海文:2008年考研数学二试题参考答案
2008年考研数学二试题参考答案之填空题
2008年考研数学二试题参考答案之第15题

  2008年考研数学二试题参考答案之第16题暂缺。

2008年考研数学二试题参考答案之第17题

 

2008年考研数学二试题参考答案之第18题

  2008年考研数学二试题参考答案之第19题暂缺。

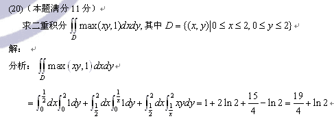
2008年考研数学二试题参考答案之第20题

2008年考研数学二试题参考答案之第21题

2008年考研数学二试题参考答案之第22题

2008年考研数学二试题参考答案之第23题
  • 上一个文章:

  • 下一个文章:
  • 特别说明:由于各方面情况的不断调整与变化,中国一考网所提供的所有考试信息仅供参考,敬请考生以权威部门公布的正式信息为准。

    网友评论(评论只代表网友观点,与本站立场无关)
    发表评论
    姓 名: *(必填项) ·注册用户·
    Email: QQ号:
    评 分: 1分 2分 3分 4分 5分
    评论
    内容
     
     
    今日推荐
    最新新闻资讯

    2007年考研高校复试线

    提醒:报考法硕不可忽
    普通文章[公务员动态]20万考生临阵放弃公考 公务员并非01-11
    普通文章[公务员动态]08年江苏省公务员考试报名1月10日01-11
    普通文章[公务员动态]08年福建省公务员考试录用专业(学01-11
    普通文章[司考资讯]国家司法考试坚持对中西部地区的01-09
    普通文章[公务员动态]08年福建省公检法系统春季招考计01-07
    普通文章[公务员动态]江西省近9.7万人参加08年国家公务01-07
    普通文章[公务员动态]08年江西公考1月6日开考 582人竞01-07
    普通文章[公务员动态]08年四川省公招 一半岗位要求基层01-02
    最新复习指导
    普通文章[数学]2009年考研数学复习规划之高等数01-29
    普通文章[数学]2008年研考数学真题更重基础 难度01-29
    普通文章[数学]文都蔡子华点评08考研数学真题并01-29
    普通文章[数学]万学海文:2008年考研数学二试题01-29
    普通文章[数学]万学海文:2008年考研数学三试题01-22
    普通文章[数学]万学海文:2008年考研数学一试题01-22
    普通文章[数学]万学海文:2008年考研数学四试题01-22
    普通文章[政治]万学海文:2008年考研政治客观题01-22
    普通文章[政治]万学海文第一时间公布2008考研政01-22
    固顶文章[数学]2008年硕士研究生入学考试数学四01-21
    最近试题资料
  • 此栏目下没有文章
  • 最新增值资源
     
    1考网简介 | About 1kao | 广告服务 | 联系我们 | 版权申明 | 会员注册 | 产品答疑
    Copyright © 2004-2010 www.1kao.net, All Rights Reserved
    公务员考试 MBA论文 考研大纲 中国1考网 版权所有